Damping
Monday, 11 June 2018
11:23 AM
Oscillation Dampening
In realistic systems, non-conservative forces (ie air resistance, friction) occur, and diminishes the energy of the system of time - the motion of the oscillator is said to be damped.
Ie - A spring in a viscous fluid
The fluid opposes the motion of the block by exerting a retarding force proportional to its velocity
![]()
![]()
![]()

![]()
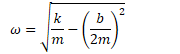
Underdamping
Condition: ![]()

Critical Damping
Condition: ![]()
![]()
Over Damping
Condition: ![]()
![]()


Created with Microsoft OneNote 2016.